张长贵教授学术报告:On a contour-integral representation of the Jackson integral
发布时间:2026-04-25 浏览次数:10
报告题目:On a contour-integral representation of the Jackson integral
报告时间:2026年4月29日下午3:30-4:30
报告地点:广西师范大学育才校区数学楼502
讲座人:张长贵教授(法国里尔大学)
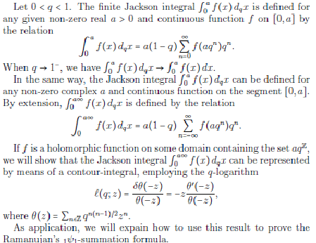
报告摘要:

报告人简介:张长贵,法国里尔大学教授,主要研究微分方程、差分方程及相关特殊函数,并关注它们在解析数论中的应用。其工作涉及带非正则奇点的微分方程、q-差分方程发散级数解的求和、q-差分方程的局部解析分类,以及 Ramanujan 整函数、拟模函数等特殊函数的研究。曾在《Astérisque》出版专著《Local analytic classification of q-difference equations》,并在《Advances in Mathematics》、《Annales de l’Institut Fourier》、《Annales de la Faculté des Sciences de Toulouse. Mathématiques》等期刊发表论文四十余篇。